Официальное опубликование правовых актов
ОФИЦИАЛЬНОЕ ОПУБЛИКОВАНИЕ
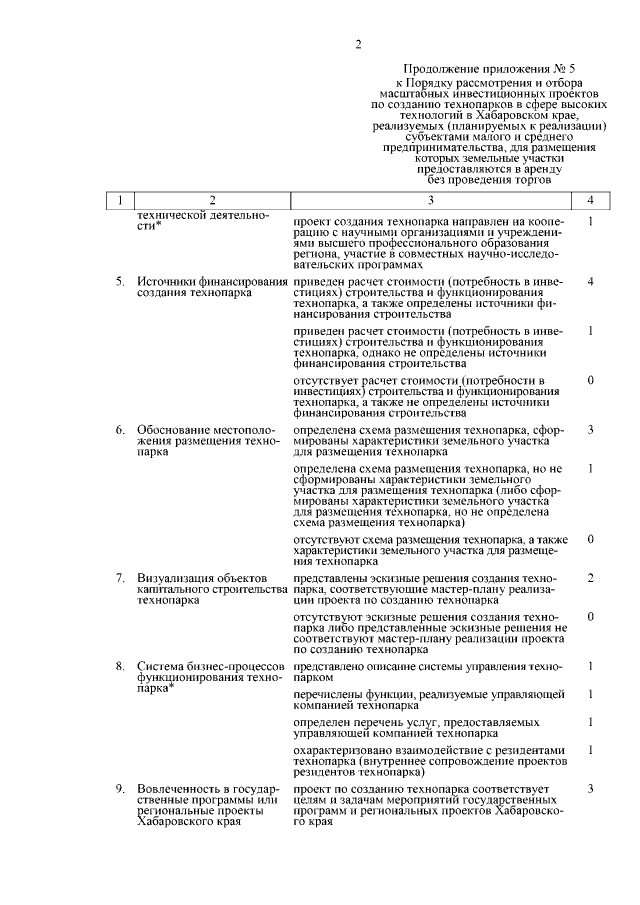
Постановление Правительства Хабаровского края от 27.04.2021 № 148-пр
"Об утверждении Порядка рассмотрения и отбора масштабных инвестиционных проектов по созданию технопарков в сфере высоких технологий в Хабаровском крае, реализуемых (планируемых к реализации) субъектами малого и среднего предпринимательства, для размещения которых земельные участки предоставляются в аренду без проведения торгов"
Номер опубликования: 2700202104290001
Дата опубликования: 29.04.2021
Страница №38 из 47:
Увеличить