Официальное опубликование правовых актов
ОФИЦИАЛЬНОЕ ОПУБЛИКОВАНИЕ
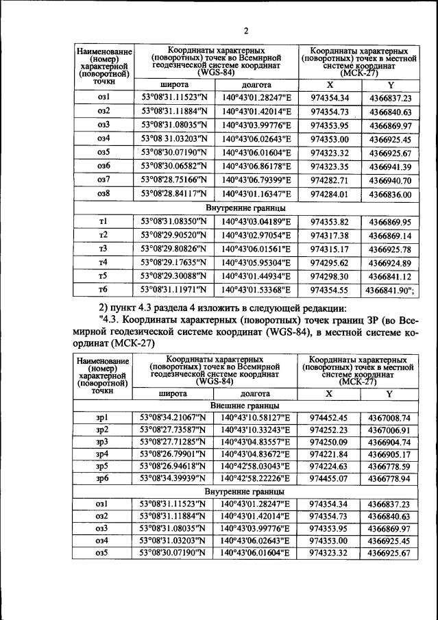
Постановление Правительства Хабаровского края от 24.02.2021 № 38-пр
"О внесении изменений в границы зон охраны объекта культурного наследия регионального значения "Николаевское ремесленное училище", 1904 г., до 1915 г., г. Николаевск-на-Амуре, ул. Школьная, д. 115, а также режимы использования земель и требования к градостроительным регламентам в границах данных зон, утвержденные постановлением Правительства Хабаровского края от 29 сентября 2017 г. № 396-пр"
Номер опубликования: 2700202102250005
Дата опубликования: 25.02.2021
Страница №2 из 3:
Увеличить