Официальное опубликование правовых актов
ОФИЦИАЛЬНОЕ ОПУБЛИКОВАНИЕ
Распоряжение Правительства Хабаровского края от 16.02.2018 № 107-рп
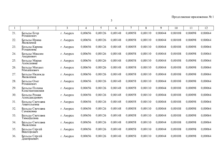
"О предоставлении в пользование водных биологических ресурсов, общий допустимый улов которых устанавливается, заявителям из числа лиц, относящихся к коренным малочисленным народам Севера, Сибири и Дальнего Востока Российской Федерации, и их общин в целях обеспечения традиционного образа жизни и осуществления традиционной хозяйственной деятельности коренных малочисленных народов Севера, Сибири и Дальнего Востока Российской Федерации в Хабаровском крае на 2018 год"
Номер опубликования: 2700201802220003
Дата опубликования: 22.02.2018
Страница №5 из 2087:
Увеличить