Официальное опубликование правовых актов
ОФИЦИАЛЬНОЕ ОПУБЛИКОВАНИЕ
Постановление Правительства Хабаровского края от 31.07.2017 № 299-пр
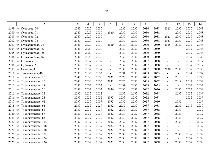
"О внесении изменений в Программу капитального ремонта общего имущества в многоквартирных домах Хабаровского края на 2014 – 2043 годы, утвержденную постановлением Правительства Хабаровского края от 30 декабря 2013 г. № 479-пр"
Номер опубликования: 2700201708020011
Дата опубликования: 02.08.2017
Страница №96 из 276:
Увеличить