Официальное опубликование правовых актов
ОФИЦИАЛЬНОЕ ОПУБЛИКОВАНИЕ
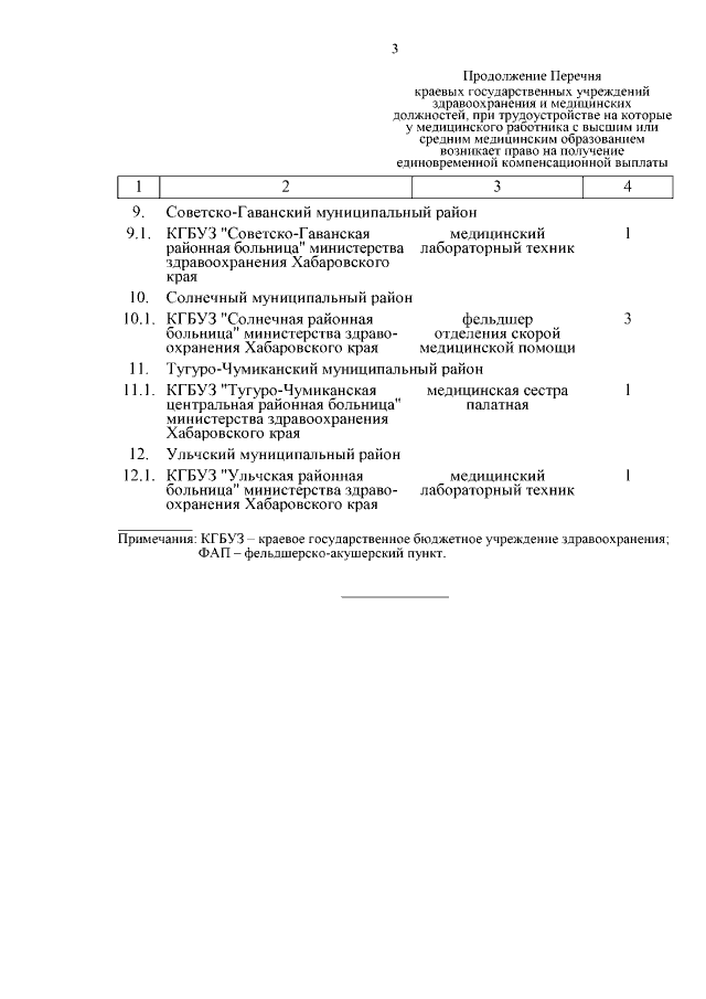
Постановление Правительства Хабаровского края от 04.05.2017 № 178-пр
"О единовременных компенсационных выплатах медицинским работникам в 2017 году"
Номер опубликования: 2700201705100005
Дата опубликования: 10.05.2017
Страница №15 из 15:
Увеличить