Официальное опубликование правовых актов
ОФИЦИАЛЬНОЕ ОПУБЛИКОВАНИЕ
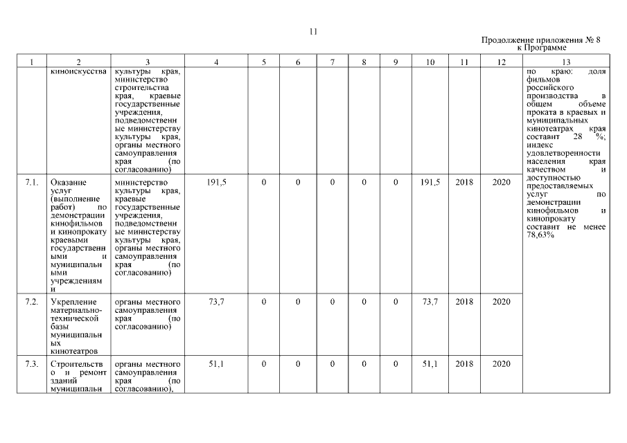
Постановление Правительства Хабаровского края от 30.12.2016 № 507-пр
"О внесении изменений в государственную программу Хабаровского края "Культура Хабаровского края", утвержденную постановлением Правительства Хабаровского края от 28 июня 2012 г. № 216-пр"
Номер опубликования: 2700201701030004
Дата опубликования: 03.01.2017
Страница №112 из 135:
Увеличить