Официальное опубликование правовых актов
ОФИЦИАЛЬНОЕ ОПУБЛИКОВАНИЕ
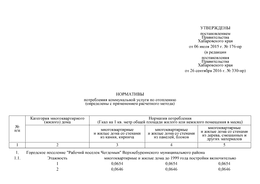
Постановление Правительства Хабаровского края от 26.09.2016 № 330-пр
"О внесении изменений в постановление Правительства Хабаровского края от 06 июля 2015 г. № 176-пр "Об утверждении нормативов потребления коммунальной услуги по отоплению"
Номер опубликования: 2700201609260002
Дата опубликования: 26.09.2016
Страница №4 из 35:
Увеличить