Официальное опубликование правовых актов
ОФИЦИАЛЬНОЕ ОПУБЛИКОВАНИЕ
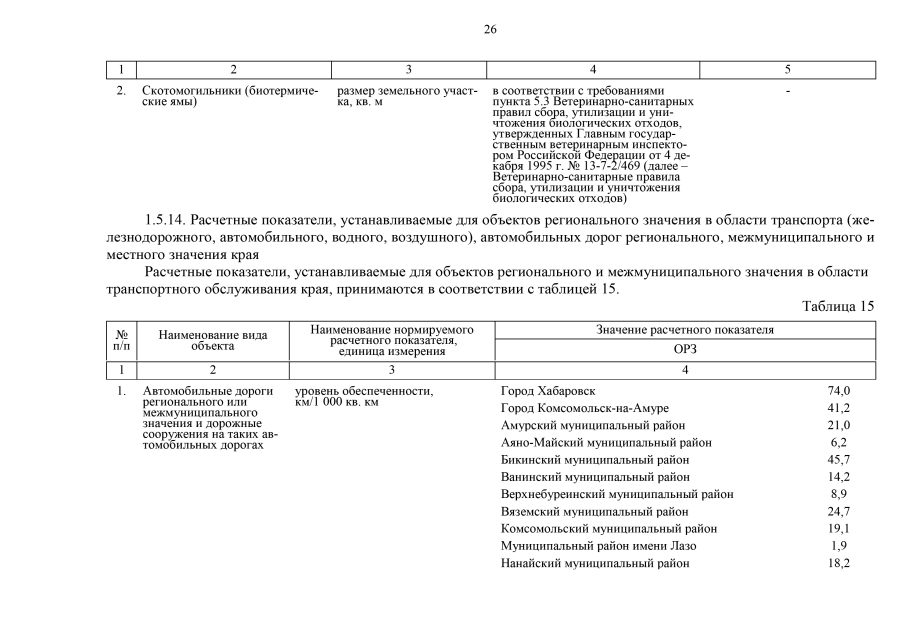
Постановление Правительства Хабаровского края от 31.08.2016 № 302-пр
"О внесении изменений в Нормативы градостроительного проектирования Хабаровского края, утвержденные постановлением Правительства Хабаровского края от 27 мая 2013 г. № 136-пр"
Номер опубликования: 2700201609050001
Дата опубликования: 05.09.2016
Страница №27 из 148:
Увеличить