Официальное опубликование правовых актов
ОФИЦИАЛЬНОЕ ОПУБЛИКОВАНИЕ
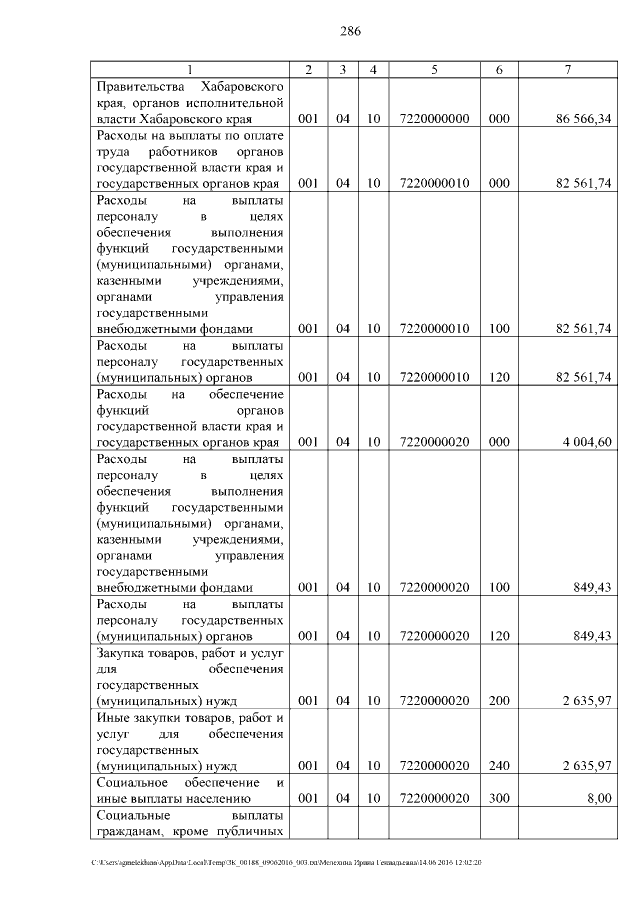
Закон Хабаровского края от 09.06.2016 № 188
"О внесении изменений в Закон Хабаровского края "О краевом бюджете на 2016 год"
Номер опубликования: 2700201606140008
Дата опубликования: 14.06.2016
Страница №286 из 695:
Увеличить