Распоряжение Правительства Хабаровского края от 01.06.2016 № 404-рп
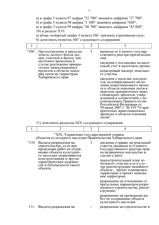
"О внесении изменений в Перечень государственных услуг, предоставляемых органами исполнительной власти Хабаровского края, подлежащих переводу на межведомственное взаимодействие, утвержденный распоряжением Правительства Хабаровского края от 22 ноября 2011 г. № 707-рп"
"О внесении изменений в Перечень государственных услуг, предоставляемых органами исполнительной власти Хабаровского края, подлежащих переводу на межведомственное взаимодействие, утвержденный распоряжением Правительства Хабаровского края от 22 ноября 2011 г. № 707-рп"
Номер опубликования: 2700201606060004
Дата опубликования:
06.06.2016
