Официальное опубликование правовых актов
ОФИЦИАЛЬНОЕ ОПУБЛИКОВАНИЕ
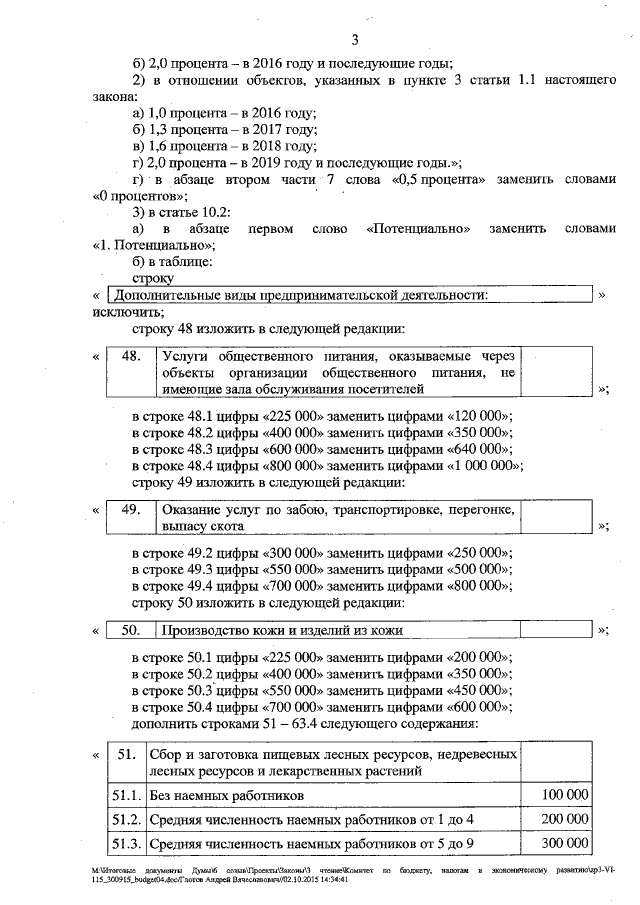
Закон Хабаровского края от 30.09.2015 № 122
"О внесении изменений в Закон Хабаровского края "О региональных налогах и налоговых льготах в Хабаровском крае"
Номер опубликования: 2700201510080005
Дата опубликования: 08.10.2015
Страница №3 из 10:
Увеличить