Официальное опубликование правовых актов
ОФИЦИАЛЬНОЕ ОПУБЛИКОВАНИЕ
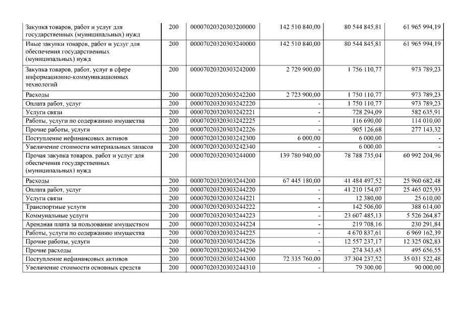
Постановление Правительства Хабаровского края от 13.08.2015 № 250-пр
"Об утверждении отчета об исполнении краевого бюджета за I полугодие 2015 г."
Номер опубликования: 2700201508180001
Дата опубликования: 18.08.2015
Страница №366 из 722:
Увеличить