Официальное опубликование правовых актов
ОФИЦИАЛЬНОЕ ОПУБЛИКОВАНИЕ
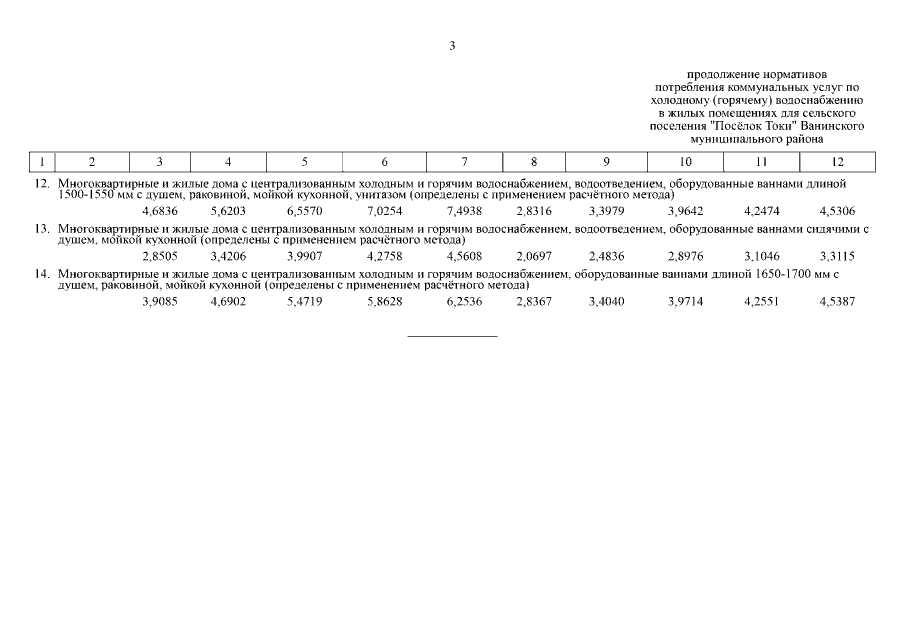
Постановление Правительства Хабаровского края от 09.06.2015 № 130-пр
"Об утверждении нормативов потребления коммунальных услуг холодного и горячего водоснабжения, нормативов потребления коммунальной услуги по холодному водоснабжению при использовании земельного участка и надворных построек, определении норматива потребления коммунальной услуги по водоотведению в жилых помещениях"
Номер опубликования: 2700201506110007
Дата опубликования: 11.06.2015
Страница №40 из 213:
Увеличить