Официальное опубликование правовых актов
ОФИЦИАЛЬНОЕ ОПУБЛИКОВАНИЕ
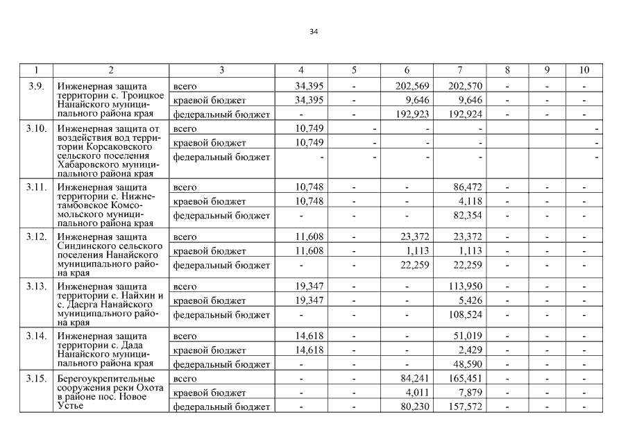
Постановление Правительства Хабаровского края от 13.04.2015 № 68-пр
"О внесении изменений в государственную программу Хабаровского края "Развитие водохозяйственного комплекса Хабаровского края в 2014 – 2020 годах", утвержденную постановлением Правительства Хабаровского края от 07 февраля 2014 г. № 27-пр"
Номер опубликования: 2700201504140007
Дата опубликования: 14.04.2015
Страница №43 из 54:
Увеличить