Официальное опубликование правовых актов
ОФИЦИАЛЬНОЕ ОПУБЛИКОВАНИЕ
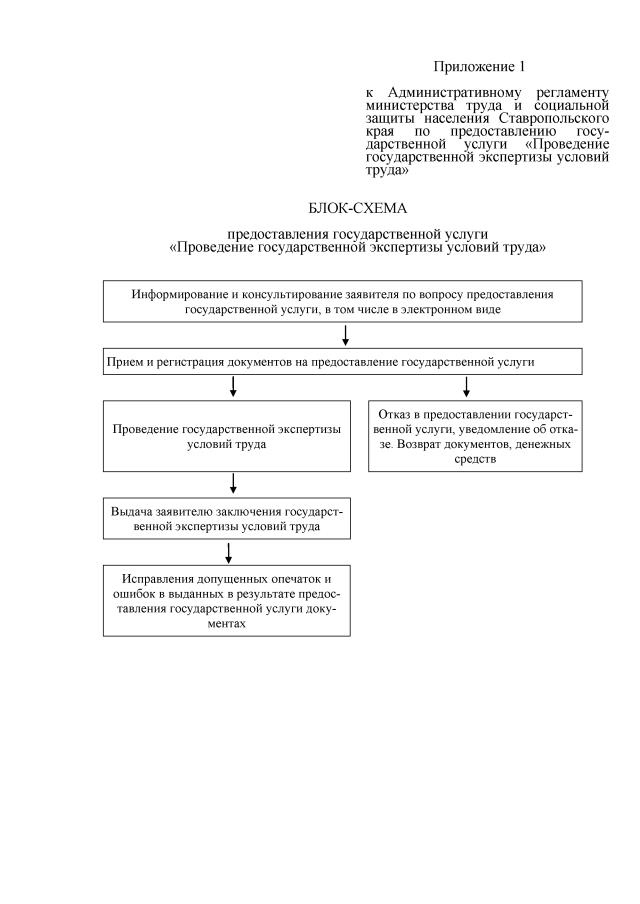
Приказ Министерства труда и социальной защиты населения Ставропольского края от 12.12.2022 № 491
"Об утверждении административного регламента предоставления министерством труда и социальной защиты населения Ставропольского края государственной услуги "Проведение государственной экспертизы условий труда"
Номер опубликования: 2601202212140001
Дата опубликования: 14.12.2022
Страница №47 из 93:
Увеличить