Официальное опубликование правовых актов
ОФИЦИАЛЬНОЕ ОПУБЛИКОВАНИЕ
Постановление Правительства Ставропольского края от 11.12.2025 № 644-п
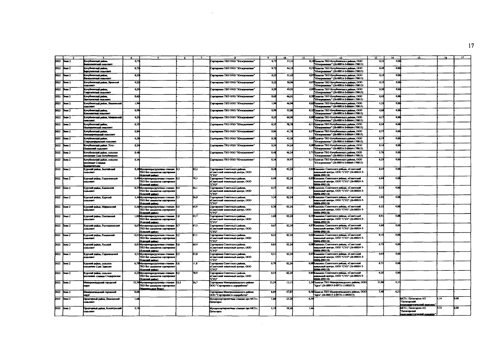
"О внесении изменения в приложение 23 к территориальной схеме обращения с отходами в Ставропольском крае, утвержденной постановлением Правительства Ставропольского края от 22 сентября 2016 г. № 408-п"
Номер опубликования: 2600202512150007
Дата опубликования: 15.12.2025
Страница №18 из 71:
Увеличить