Официальное опубликование правовых актов
ОФИЦИАЛЬНОЕ ОПУБЛИКОВАНИЕ
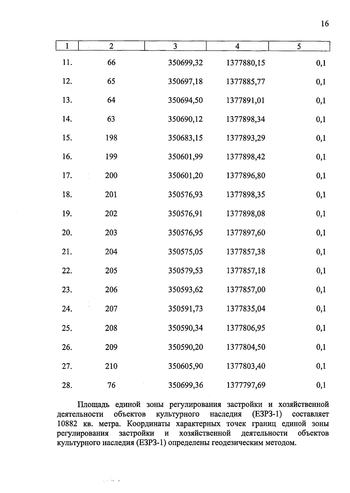
Постановление Правительства Ставропольского края от 01.10.2024 № 560-п
"Об установлении объединенной зоны охраны объектов культурного наследия, расположенных в городе Кисловодске, и утверждении режимов использования земель и требований к градостроительным регламентам в границах территории данной зоны"
Номер опубликования: 2600202410040002
Дата опубликования: 04.10.2024
Страница №17 из 43:
Увеличить