Официальное опубликование правовых актов
ОФИЦИАЛЬНОЕ ОПУБЛИКОВАНИЕ
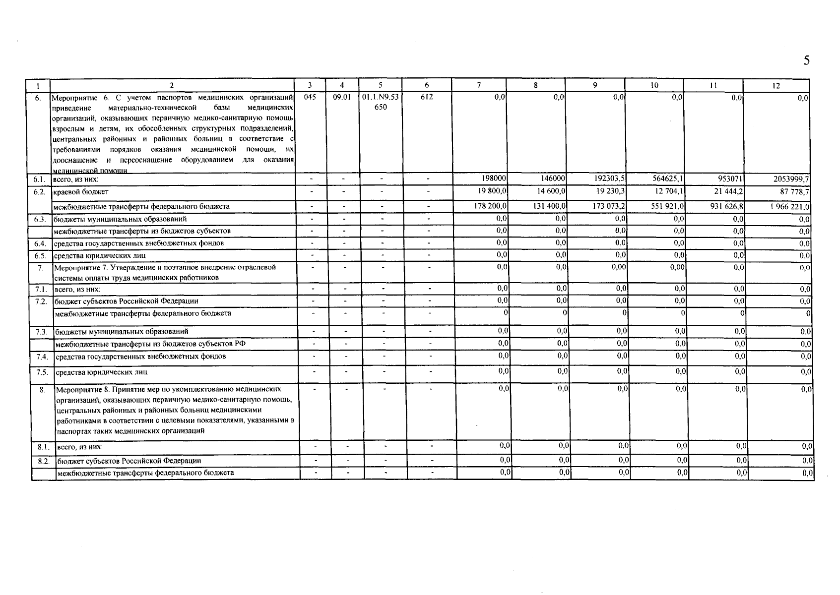
Постановление Правительства Ставропольского края от 03.10.2023 № 592-п
"О внесении изменений в краевую программу "Программа модернизации первичного звена здравоохранения в Ставропольском крае", утвержденную постановлением Правительства Ставропольского края от 14 декабря 2020 г. № 671-п"
Номер опубликования: 2600202310060003
Дата опубликования: 06.10.2023
Страница №8 из 93:
Увеличить