Официальное опубликование правовых актов
ОФИЦИАЛЬНОЕ ОПУБЛИКОВАНИЕ
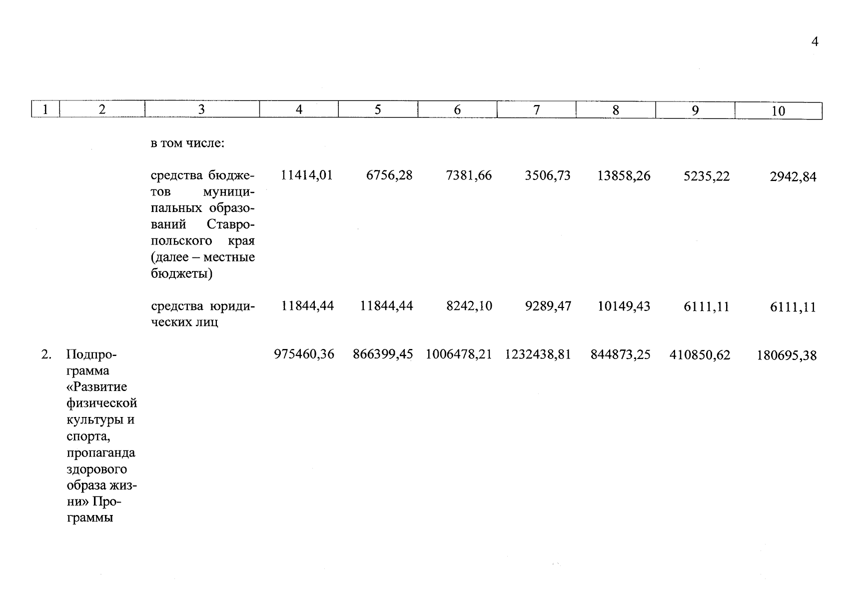
Постановление Правительства Ставропольского края от 01.10.2023 № 582-п
"О внесении изменений в государственную программу Ставропольского края "Развитие физической культуры и спорта", утвержденную постановлением Правительства Ставропольского края от 28 декабря 2018 г. № 619-п"
Номер опубликования: 2600202310040006
Дата опубликования: 04.10.2023
Страница №30 из 45:
Увеличить