Официальное опубликование правовых актов
ОФИЦИАЛЬНОЕ ОПУБЛИКОВАНИЕ
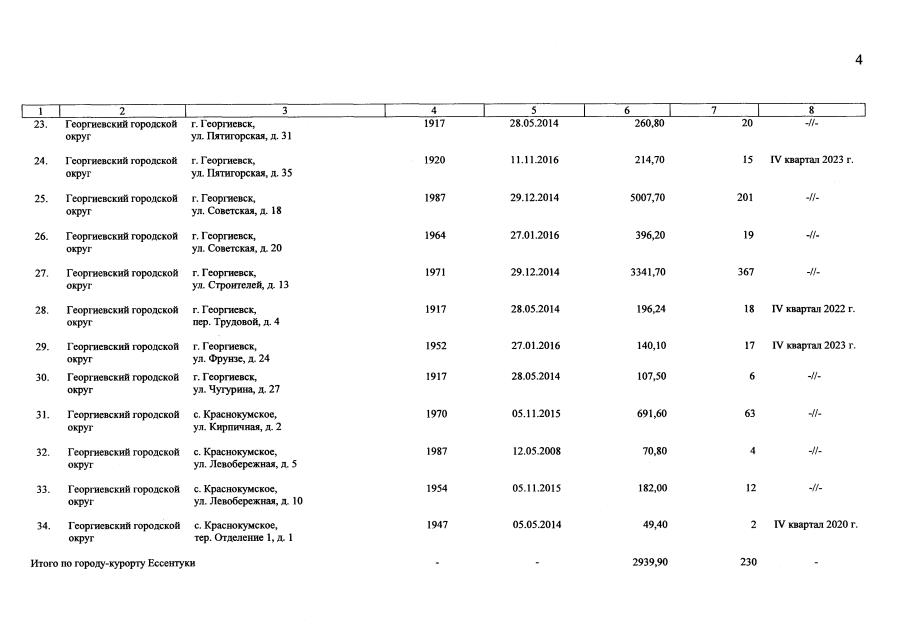
Постановление Правительства Ставропольского края от 21.12.2022 № 783-п
"О внесении изменений в краевую адресную программу "Переселение граждан из аварийного жилищного фонда в Ставропольском крае в 2019-2023 годах", утвержденную постановлением Правительства Ставропольского края от 01 апреля 2019 г. № 126-п"
Номер опубликования: 2600202212220001
Дата опубликования: 22.12.2022
Страница №13 из 37:
Увеличить