Официальное опубликование правовых актов
ОФИЦИАЛЬНОЕ ОПУБЛИКОВАНИЕ
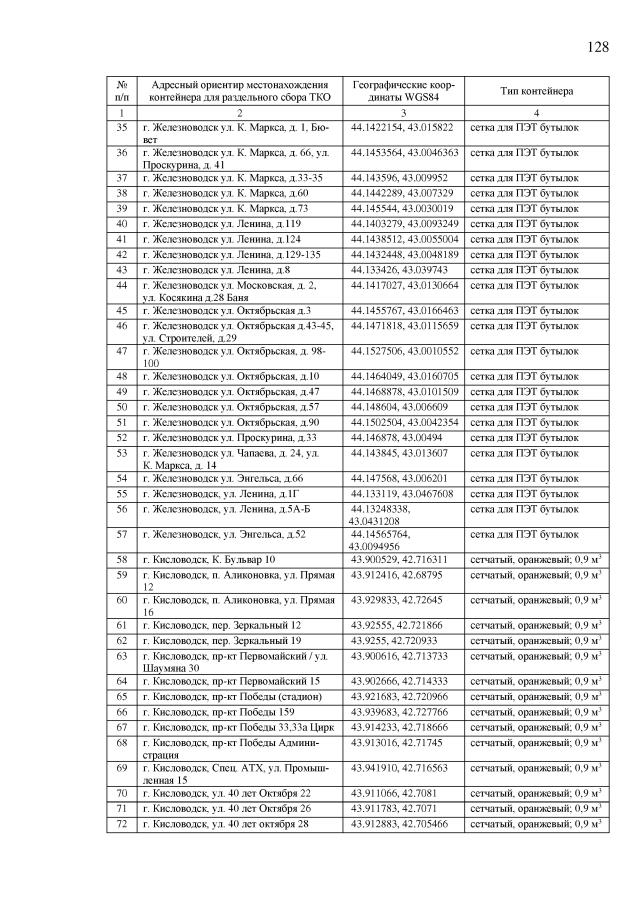
Постановление Правительства Ставропольского края от 07.02.2021 № 36-п
"О внесении изменения в территориальную схему обращения с отходами в Ставропольском крае, утвержденную постановлением Правительства Ставропольского края от 22 сентября 2016 г. № 408-п"
Номер опубликования: 2600202102160005
Дата опубликования: 16.02.2021
Страница №129 из 7820:
Увеличить