Официальное опубликование правовых актов
ОФИЦИАЛЬНОЕ ОПУБЛИКОВАНИЕ
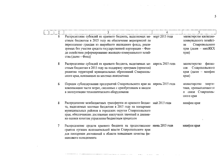
Постановление Правительства Ставропольского края от 19.01.2015 № 20-п
"О мерах по реализации Закона Ставропольского края "О бюджете Ставропольского края на 2015 год и плановый период 2016 и 2017 годов"
Номер опубликования: 2600201501230005
Дата опубликования: 23.01.2015
Страница №14 из 22:
Увеличить