Официальное опубликование правовых актов
ОФИЦИАЛЬНОЕ ОПУБЛИКОВАНИЕ
Постановление Администрации города Владивостока Приморского края от 06.06.2018 № 1732
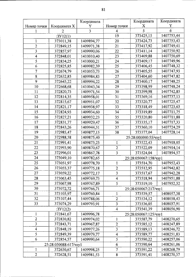
"Об утверждении документации по планировке территории в части проекта планировки территории и проекта межевания территории линейного объекта "Межпоселковый газопровод от ГРС-2 Владивосток до ГРП Пригород-4 с отводами на ГРП Пригород-1, ГРП Пригород-2, ГРП Пригород-3 Приморского края" (тестовое опубликование)"
Номер опубликования: 2502201806140006
Дата опубликования: 14.06.2018
Страница №81 из 87:
Увеличить