Официальное опубликование правовых актов
ОФИЦИАЛЬНОЕ ОПУБЛИКОВАНИЕ
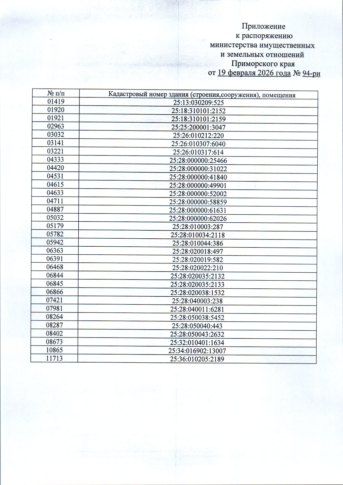
Распоряжение Министерства имущественных и земельных отношений Приморского края от 19.02.2026 № 94-ри
"О внесении изменений в распоряжение министерства имущественных и земельных отношений Приморского края от 24 декабря 2024 года № 596-ри "Об утверждении Перечня объектов недвижимого имущества, в отношении которых налоговая база определяется как кадастровая стоимость, на 2025 год"
(Зарегистрирован 19.02.2026 № 3125)
Номер опубликования: 2501202602200014
Дата опубликования: 20.02.2026
Страница №4 из 4:
Увеличить