Официальное опубликование правовых актов
ОФИЦИАЛЬНОЕ ОПУБЛИКОВАНИЕ
Приказ Инспекции по охране объектов культурного наследия Приморского края от 09.02.2026 № 42
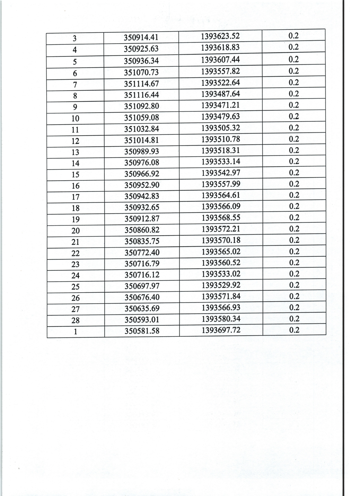
"Об утверждении границ территории объекта культурного наследия регионального значения "Минно - пристрелочная станция Сибирской флотилии", 1906 - 1907 гг."
(Зарегистрирован 09.02.2026 № 3091)
Номер опубликования: 2501202602100006
Дата опубликования: 10.02.2026
Страница №6 из 7:
Увеличить