Официальное опубликование правовых актов
ОФИЦИАЛЬНОЕ ОПУБЛИКОВАНИЕ
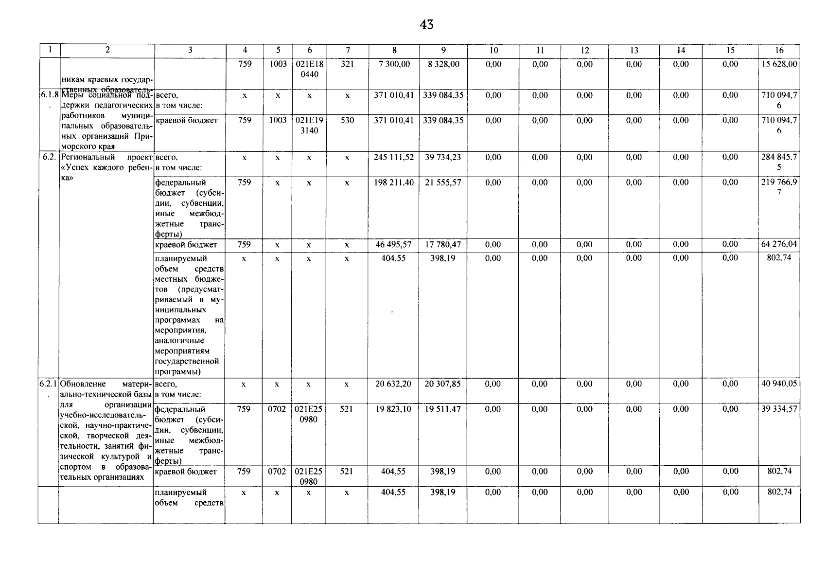
Постановление Правительства Приморского края от 30.01.2026 № 73-пп
"О внесении изменений в постановление Администрации Приморского края от 16 декабря 2019 года № 848-па "Об утверждении государственной программы Приморского края "Развитие образования Приморского края"
Номер опубликования: 2501202602040006
Дата опубликования: 04.02.2026
Страница №152 из 200:
Увеличить