Официальное опубликование правовых актов
ОФИЦИАЛЬНОЕ ОПУБЛИКОВАНИЕ
Постановление Правительства Приморского края от 28.01.2026 № 65-пп
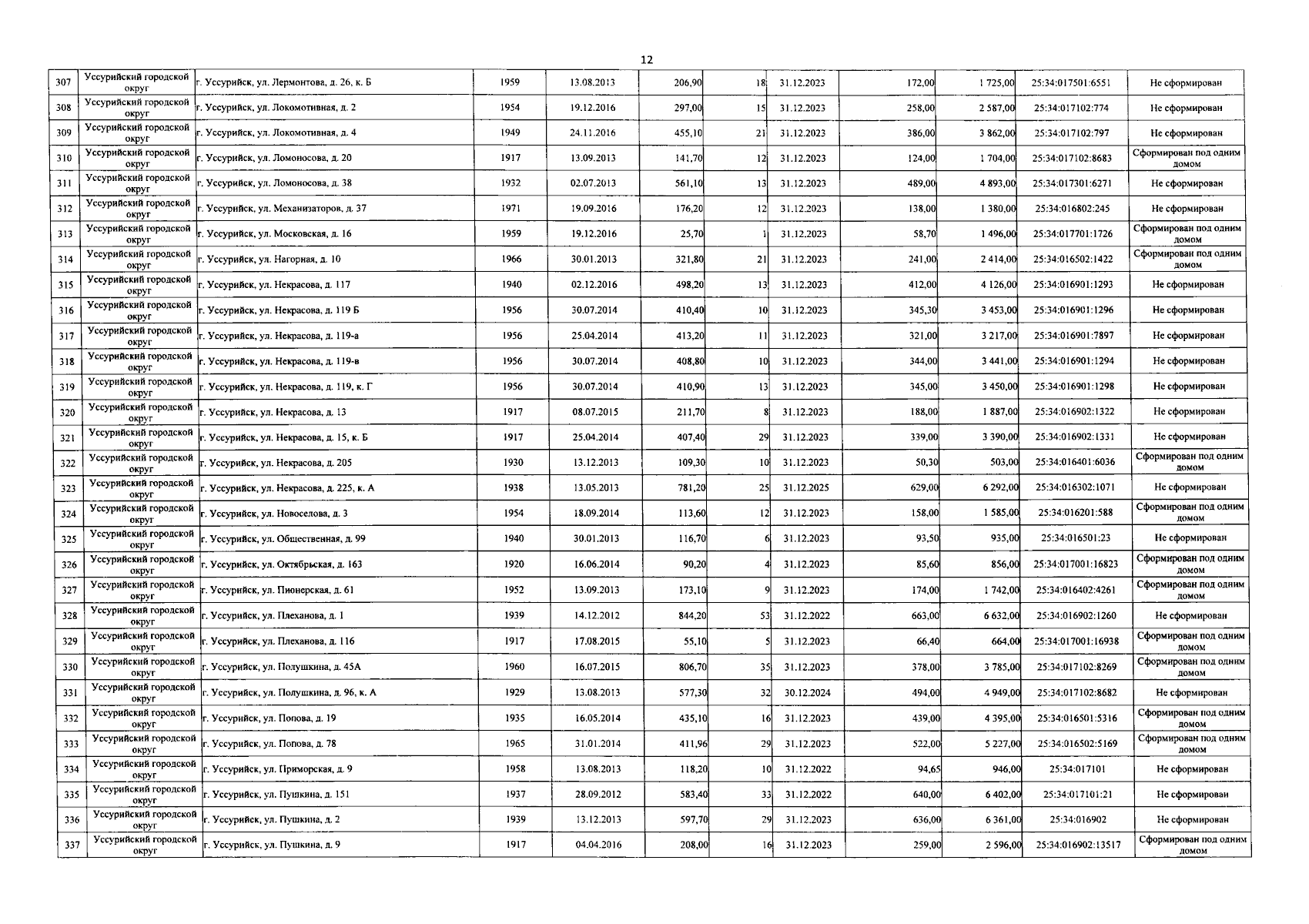
"О внесении изменений в постановление Администрации Приморского края от 09 апреля 2019 года № 217-па "Об утверждении региональной адресной программы "Переселение граждан из аварийного жилищного фонда в Приморском крае" на 2019-2024 годы"
Номер опубликования: 2501202602020011
Дата опубликования: 02.02.2026
Страница №17 из 41:
Увеличить