Официальное опубликование правовых актов
ОФИЦИАЛЬНОЕ ОПУБЛИКОВАНИЕ
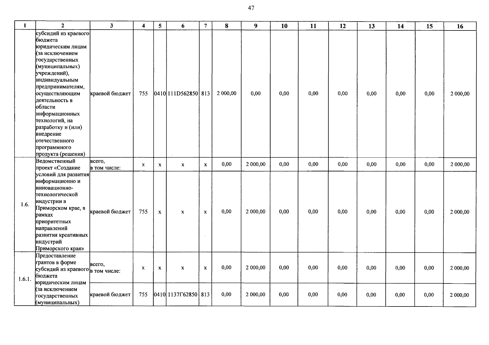
Постановление Правительства Приморского края от 28.01.2026 № 54-пп
"О внесении изменений в постановление Администрации Приморского края от 02 июля 2019 года № 418-па "Об утверждении государственной программы Приморского края "Информационное общество"
Номер опубликования: 2501202601290002
Дата опубликования: 29.01.2026
Страница №49 из 65:
Увеличить