Официальное опубликование правовых актов
ОФИЦИАЛЬНОЕ ОПУБЛИКОВАНИЕ
Постановление Правительства Приморского края от 23.01.2026 № 24-пп
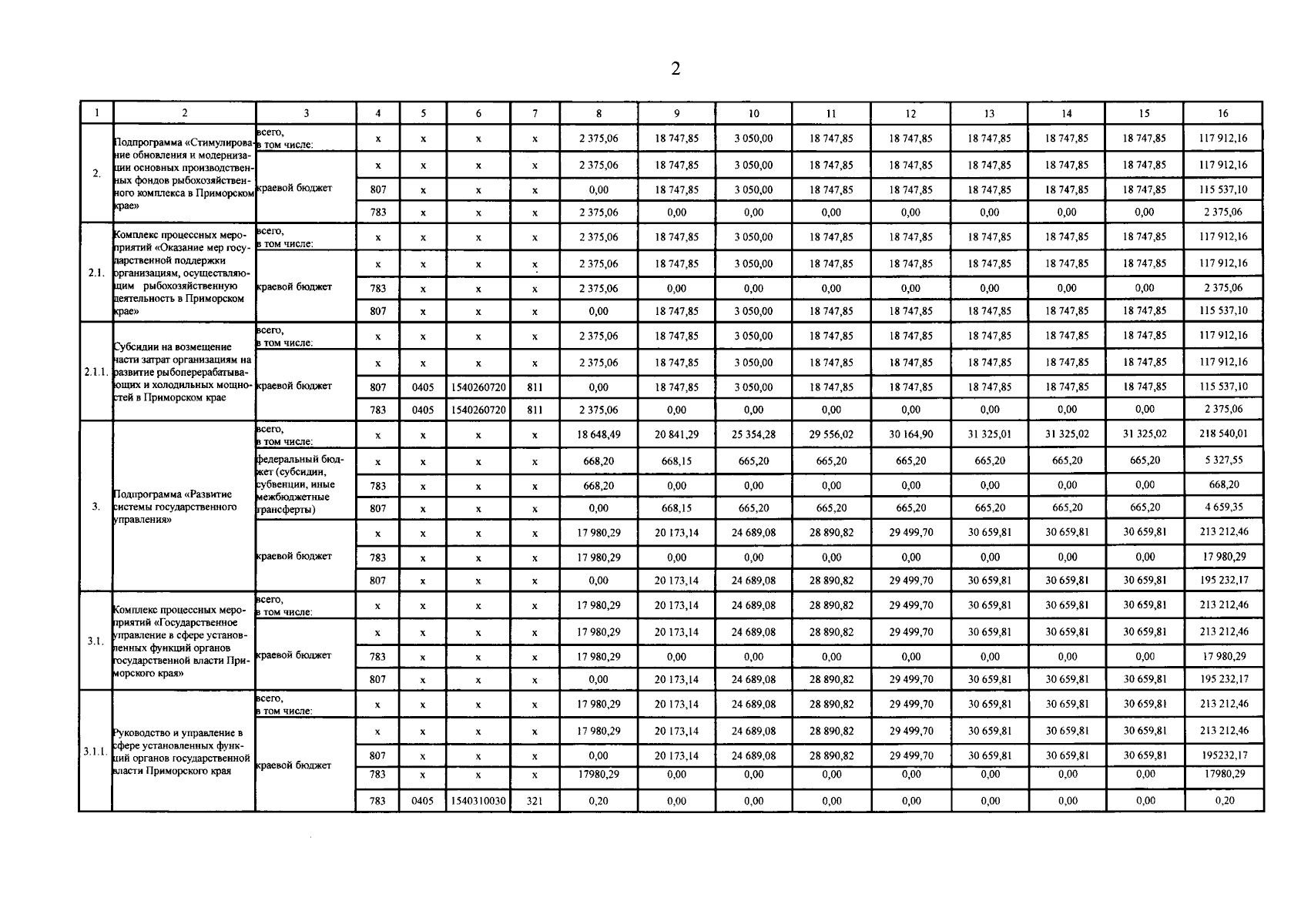
"О внесении изменений в постановление Администрации Приморского края от 27 декабря 2019 года № 921-па "Об утверждении государственной программы Приморского края "Развитие рыбохозяйственного комплекса в Приморском крае"
Номер опубликования: 2501202601260009
Дата опубликования: 26.01.2026
Страница №4 из 5:
Увеличить