Официальное опубликование правовых актов
ОФИЦИАЛЬНОЕ ОПУБЛИКОВАНИЕ
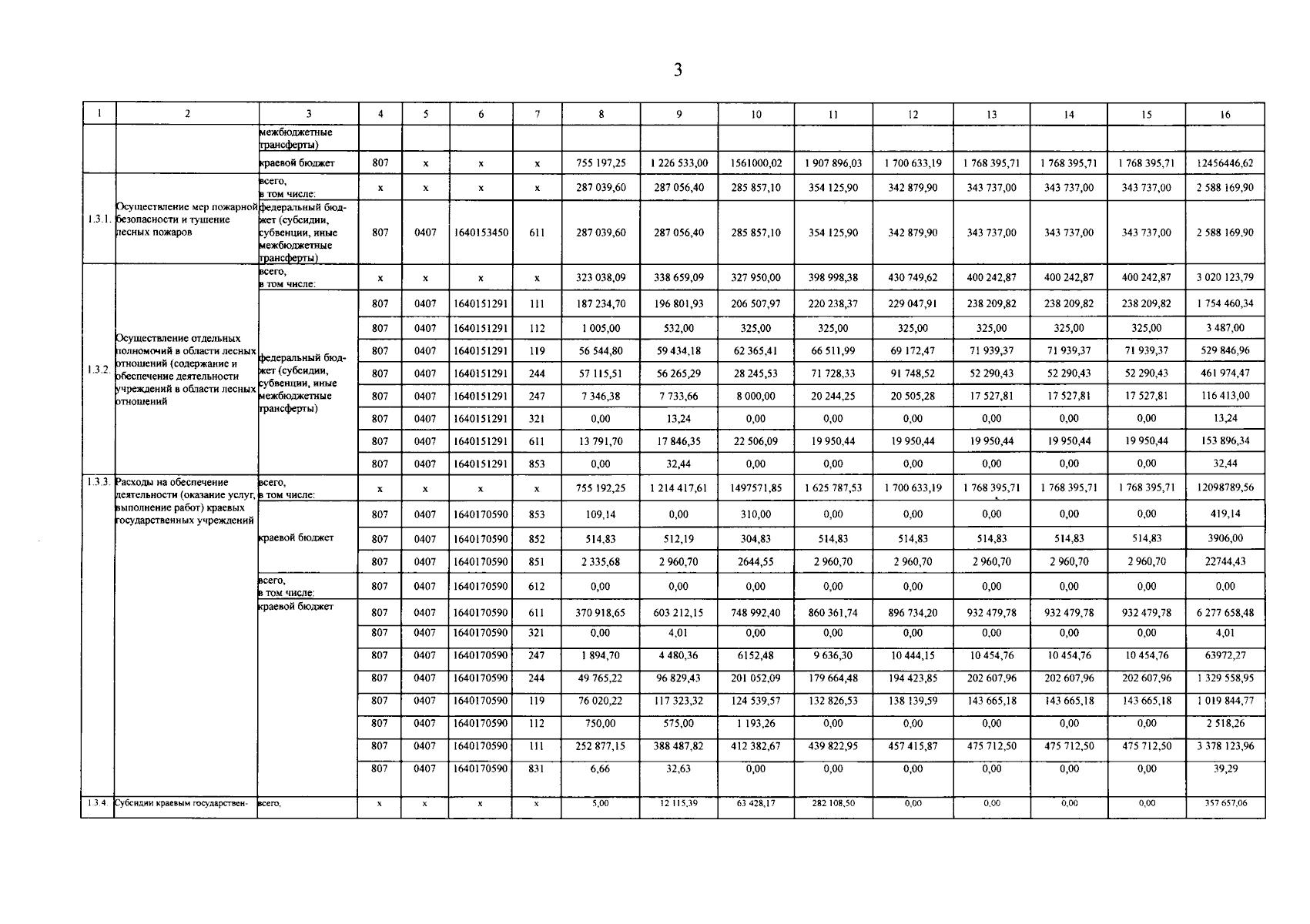
Постановление Правительства Приморского края от 23.01.2026 № 23-пп
"О внесении изменений в постановление Администрации Приморского края от 27 августа 2019 года № 558-па "Об утверждении государственной программы Приморского края "Развитие лесного хозяйства в Приморском крае"
Номер опубликования: 2501202601260007
Дата опубликования: 26.01.2026
Страница №5 из 10:
Увеличить