Официальное опубликование правовых актов
ОФИЦИАЛЬНОЕ ОПУБЛИКОВАНИЕ
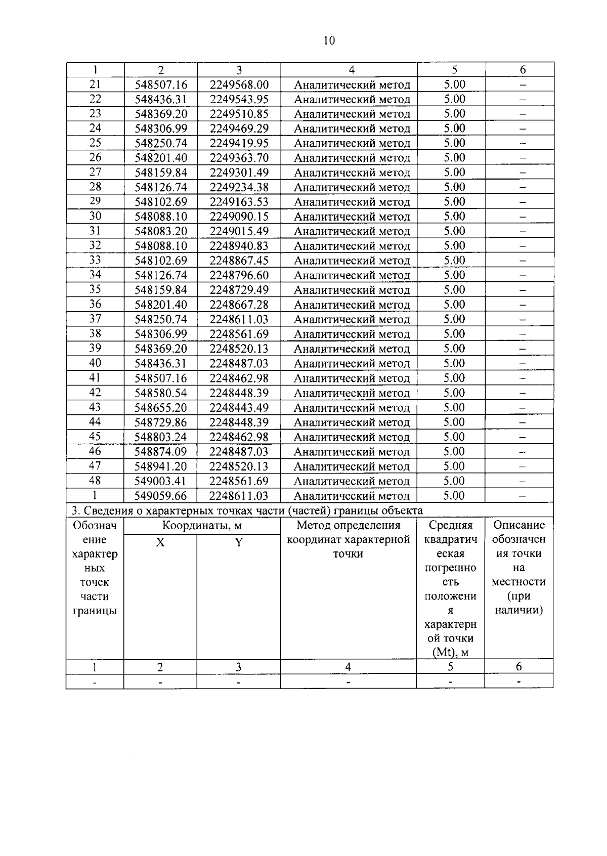
Постановление Правительства Приморского края от 25.06.2025 № 537-пп
"Об установлении зон санитарной охраны для водозабора на станции "Свиягино", расположенного на территории Спасского муниципального района Приморского края"
Номер опубликования: 2501202506260004
Дата опубликования: 26.06.2025
Страница №12 из 20:
Увеличить