Официальное опубликование правовых актов
ОФИЦИАЛЬНОЕ ОПУБЛИКОВАНИЕ
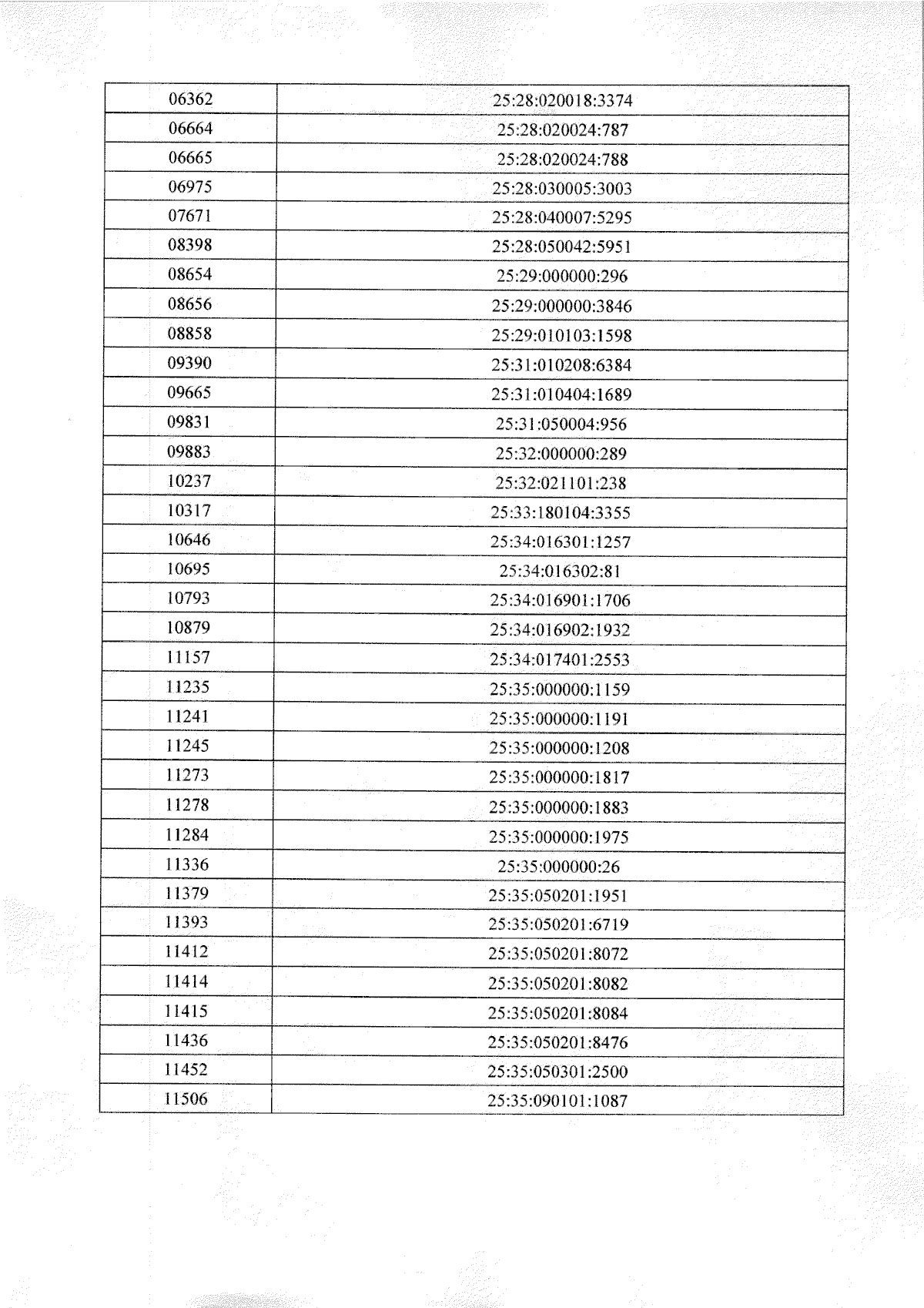
Распоряжение Министерства имущественных и земельных отношений Приморского края от 16.06.2025 № 248-ри
"О внесении изменений в распоряжение министерства имущественных и земельных отношений Приморского края от 24 декабря 2024 года № 596-ри "Об утверждении Перечня объектов недвижимого имущества, в отношении которых налоговая база определяется как кадастровая стоимость, на 2025 год"
(Зарегистрирован 16.06.2025 № 2324)
Номер опубликования: 2501202506180009
Дата опубликования: 18.06.2025
Страница №5 из 5:
Увеличить