Официальное опубликование правовых актов
ОФИЦИАЛЬНОЕ ОПУБЛИКОВАНИЕ
Постановление Правительства Приморского края от 06.06.2025 № 490-пп
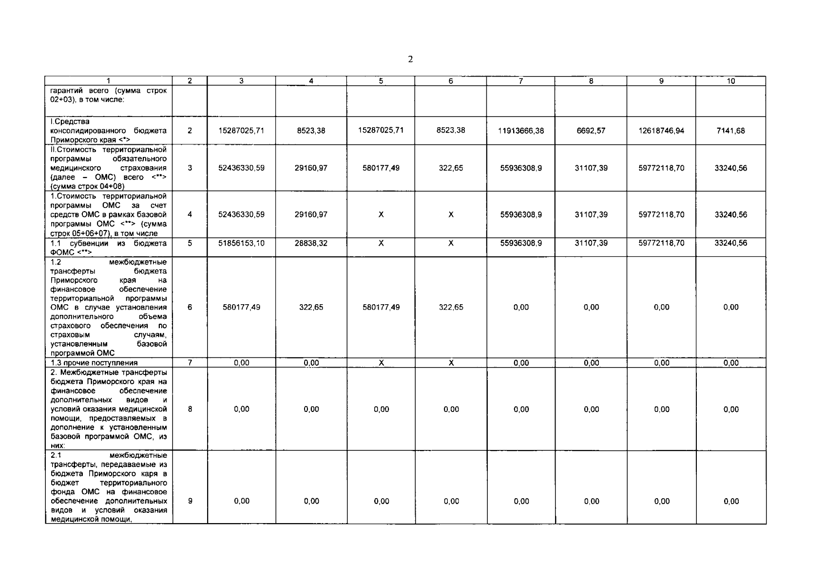
"О внесении изменений в постановление Правительства Приморского края от 27 декабря 2024 года № 944-пп "О территориальной программе государственных гарантий бесплатного оказания гражданам медицинской помощи в Приморском крае на 2025 год и на плановый период 2026 и 2027 годов"
Номер опубликования: 2501202506090006
Дата опубликования: 09.06.2025
Страница №24 из 104:
Увеличить