Официальное опубликование правовых актов
ОФИЦИАЛЬНОЕ ОПУБЛИКОВАНИЕ
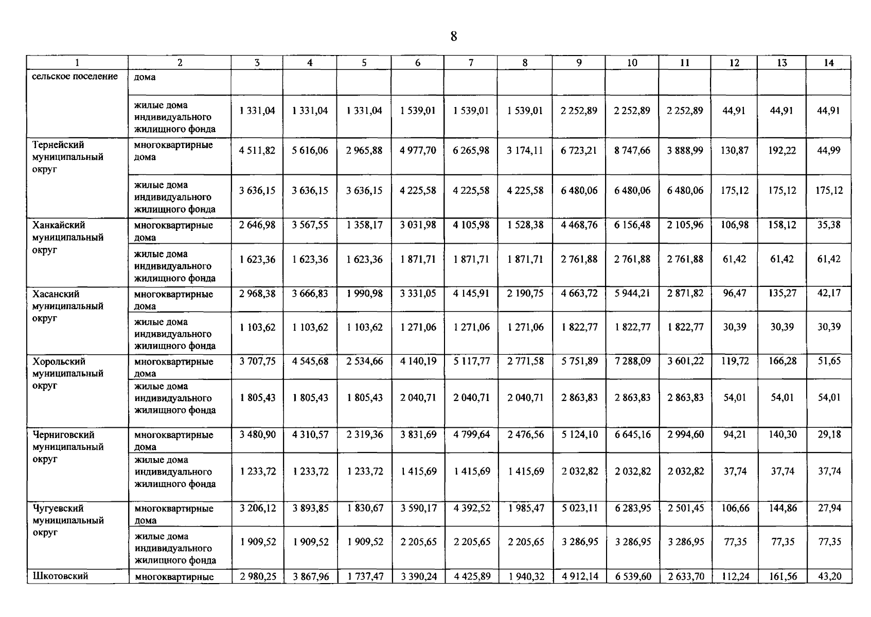
Постановление Правительства Приморского края от 16.05.2025 № 422-пп
"О региональных стандартах стоимости жилищно- коммунальных услуг на 2025 год"
Номер опубликования: 2501202505190005
Дата опубликования: 19.05.2025
Страница №23 из 24:
Увеличить