Официальное опубликование правовых актов
ОФИЦИАЛЬНОЕ ОПУБЛИКОВАНИЕ
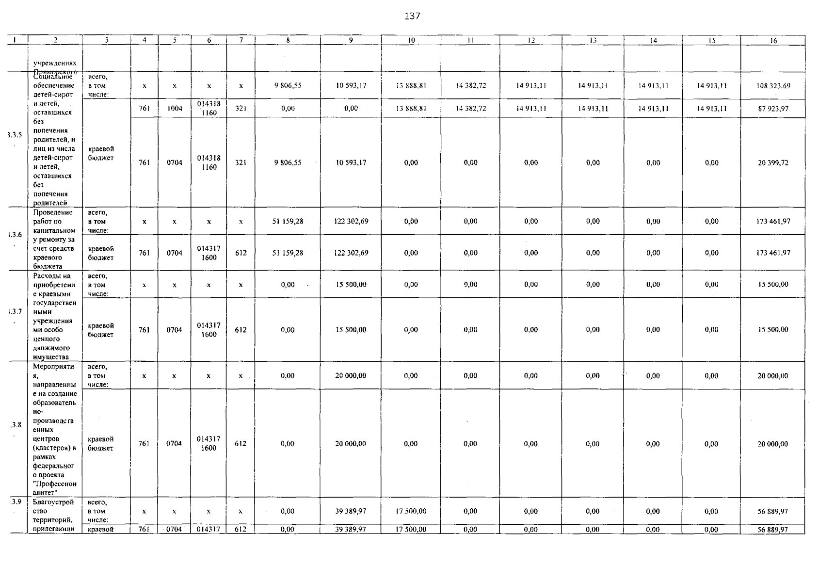
Постановление Правительства Приморского края от 24.04.2025 № 381-пп
"О внесении изменений в постановление Администрации Приморского края от 27 декабря 2019 года № 932-па "Об утверждении государственной программы Приморского края "Развитие здравоохранения Приморского края"
Номер опубликования: 2501202504280009
Дата опубликования: 28.04.2025
Страница №138 из 143:
Увеличить