Официальное опубликование правовых актов
ОФИЦИАЛЬНОЕ ОПУБЛИКОВАНИЕ
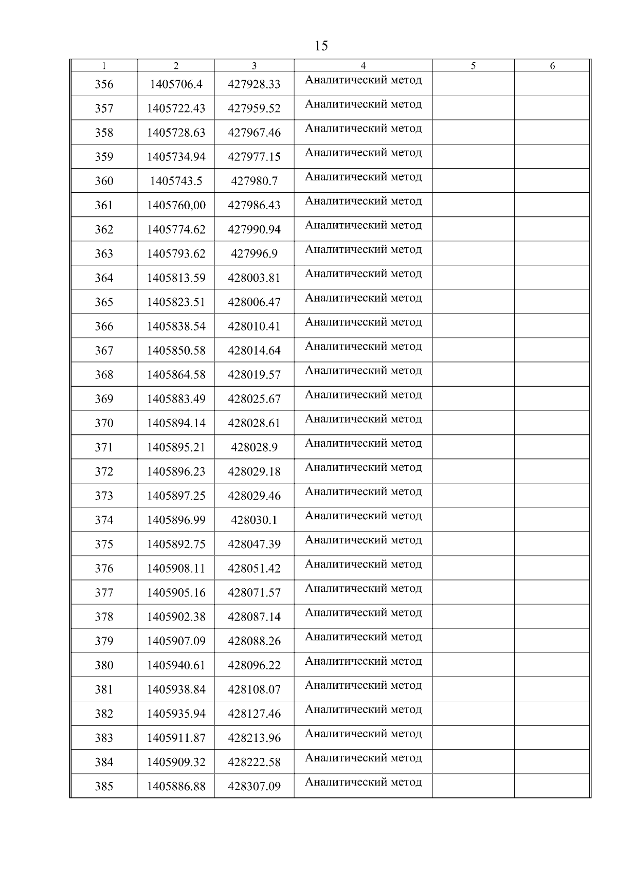
Приказ Министерства энергетики и газоснабжения Приморского края от 07.04.2025 № 45пр-93
"Об утверждении границ охранной зоны газораспределительной сети и наложении ограничений (обременений) на входящие в них земельные участки на территории Уссурийского городского округа"
(Зарегистрирован 10.04.2025 № 2211)
Номер опубликования: 2501202504140006
Дата опубликования: 14.04.2025
Страница №17 из 23:
Увеличить