Официальное опубликование правовых актов
ОФИЦИАЛЬНОЕ ОПУБЛИКОВАНИЕ
Постановление Правительства Приморского края от 02.04.2025 № 293-пп
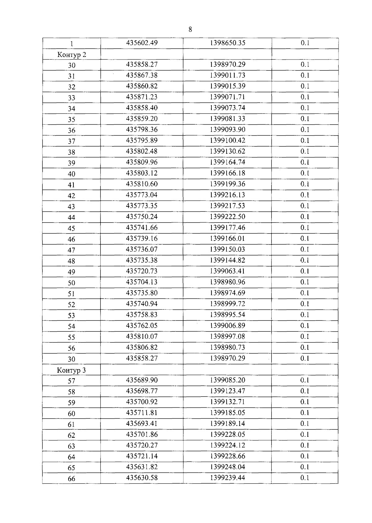
"Об установлении объединенной зоны охраны объектов культурного наследия (памятников истории и культуры) народов Российской Федерации регионального значения: "Дом жилой", 1932 г. (Приморский край, г. Уссурийск, ул. Пушкина, д. 17, лит. А); "Здание, в котором в 1917 г. проходил I–й съезд Советов рабочих и солдатских депутатов города и уезда", 1917 г. (Приморский край, г. Уссурийск, ул. Пушкина, д. 34); "Жилой особняк", начало XX века (Приморский край, г. Уссурийск, ул. Пушкина, д. 44); "Жилой дом, построенный в честь 100–летия города Уссурийска", 1966 г. (Приморский край, г. Уссурийск, ул. Пушкина, д. 50, лит. А); "Гимназия женская частная", 1903 г. (Приморский край, г. Уссурийск, ул. Советская, д. 55, лит. А); "Жилой дом", 1947 г. (Приморский край, г. Уссурийск, ул. Советская, д. 82); "Училище ремесленное", 1902–1905 гг. (Приморский край, г. Уссурийск, ул. Плеханова, д. 31, стр. А), утверждении требований к градостроительным регламентам в границах территории данной зоны"
Номер опубликования: 2501202504030002
Дата опубликования: 03.04.2025
Страница №11 из 25:
Увеличить