Официальное опубликование правовых актов
ОФИЦИАЛЬНОЕ ОПУБЛИКОВАНИЕ
Постановление Правительства Приморского края от 27.03.2025 № 276-пп
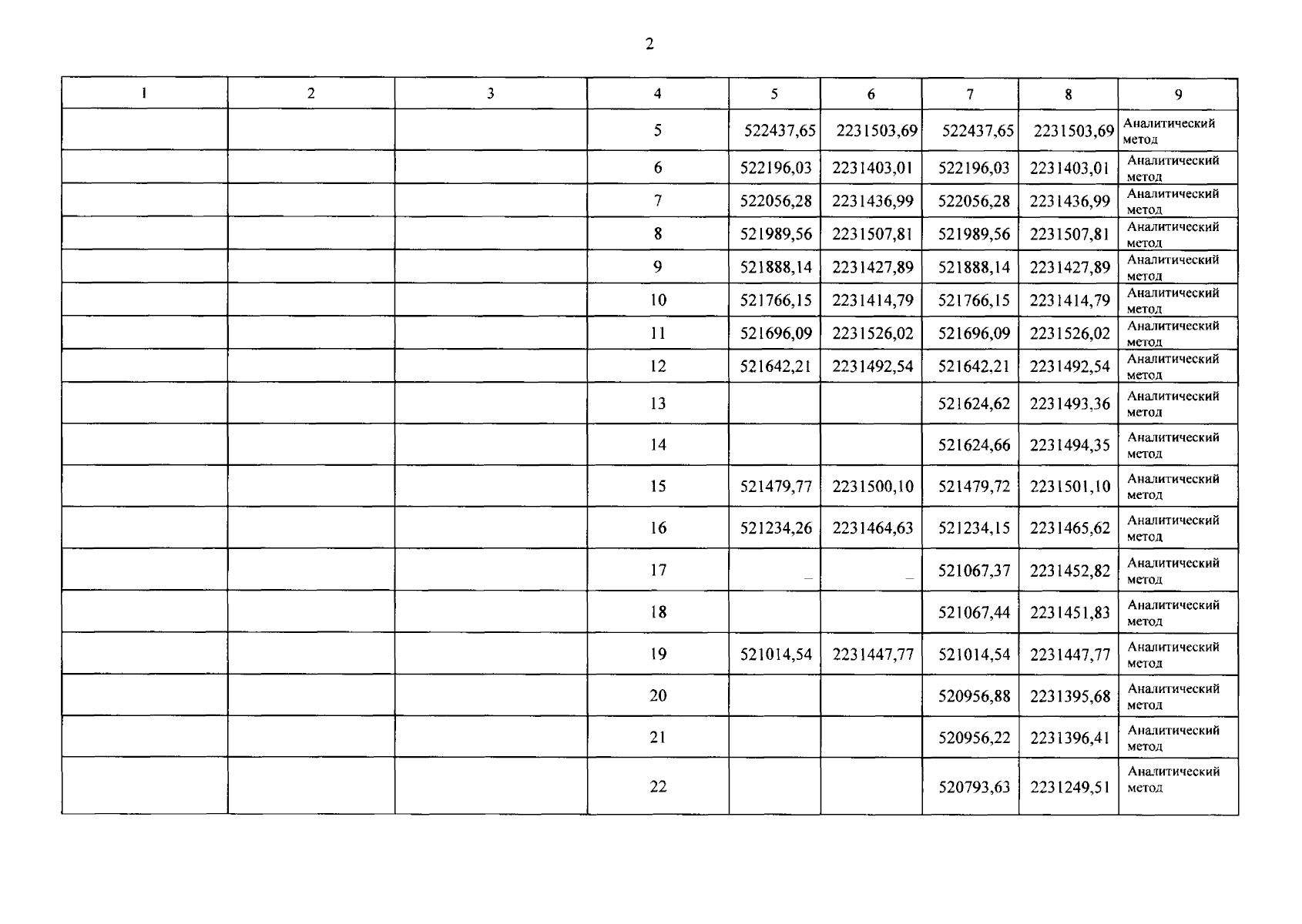
"О внесении изменений в постановление Правительства Приморского края от 15 апреля 2021 года № 239-пп "Об утверждении границ охранной зоны газораспределительной сети и наложении ограничений (обременений) на входящие в нее земельные участки на территории Спасского муниципального района"
Номер опубликования: 2501202503280004
Дата опубликования: 28.03.2025
Страница №4 из 17:
Увеличить