Официальное опубликование правовых актов
ОФИЦИАЛЬНОЕ ОПУБЛИКОВАНИЕ
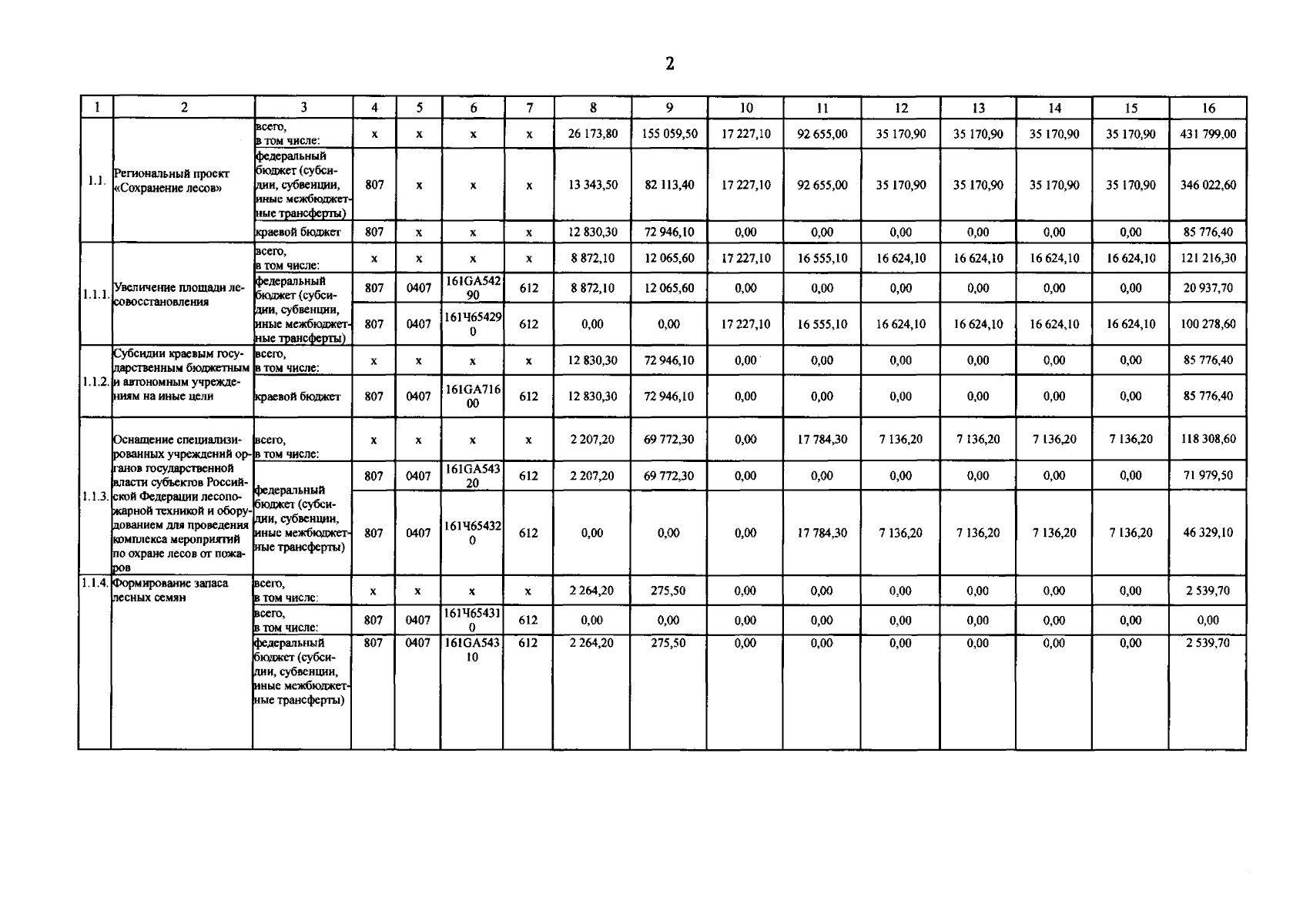
Постановление Правительства Приморского края от 18.03.2025 № 242-пп
"О внесении изменений в постановление Администрации Приморского края от 27 августа 2019 года № 558-па "Об утверждении государственной программы Приморского края "Развитие лесного хозяйства в Приморском крае"
Номер опубликования: 2501202503200006
Дата опубликования: 20.03.2025
Страница №17 из 28:
Увеличить