Официальное опубликование правовых актов
ОФИЦИАЛЬНОЕ ОПУБЛИКОВАНИЕ
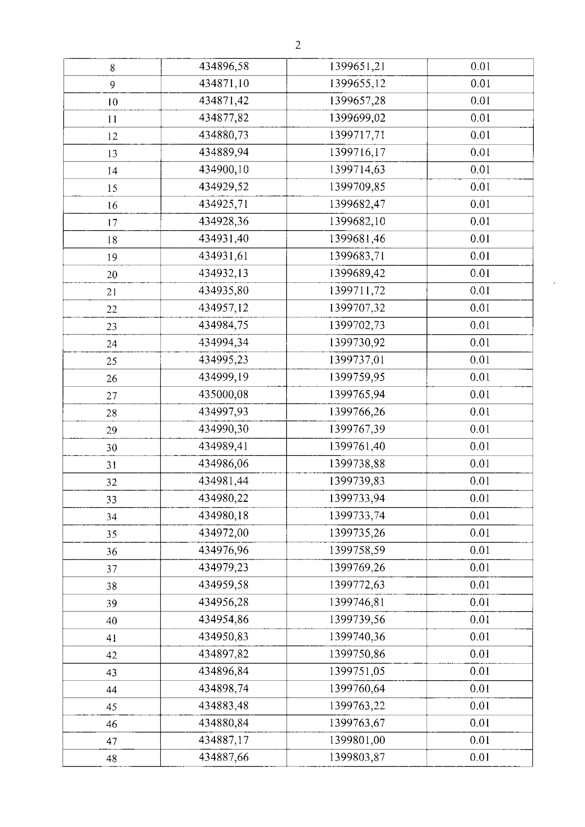
Постановление Правительства Приморского края от 28.02.2025 № 190-пп
"Об установлении зон охраны объекта культурного наследия (памятника истории и культуры) народов Российской Федерации регионального значения "Здание гостиницы", 1938 г., регистрационный номер в едином государственном реестре объектов культурного наследия 251711294890005, расположенного по адресу (местонахождение): Приморский край, г. Уссурийск, ул. Чичерина, д. 93, утверждении требований к градостроительным регламентам в границах территорий данных зон"
Номер опубликования: 2501202503040008
Дата опубликования: 04.03.2025
Страница №4 из 19:
Увеличить