Официальное опубликование правовых актов
ОФИЦИАЛЬНОЕ ОПУБЛИКОВАНИЕ
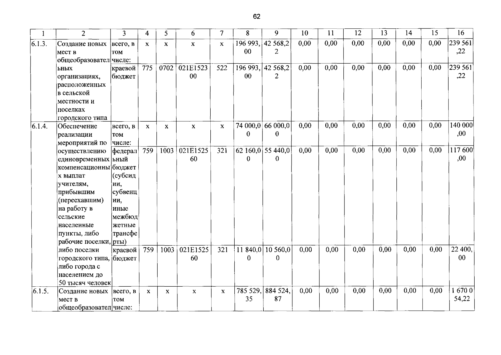
Постановление Правительства Приморского края от 27.02.2025 № 176-пп
"О внесении изменений в постановление Администрации Приморского края от 16 декабря 2019 года № 848-па "Об утверждении государственной программы Приморского края "Развитие образования Приморского края"
Номер опубликования: 2501202503040002
Дата опубликования: 04.03.2025
Страница №64 из 98:
Увеличить