Официальное опубликование правовых актов
ОФИЦИАЛЬНОЕ ОПУБЛИКОВАНИЕ
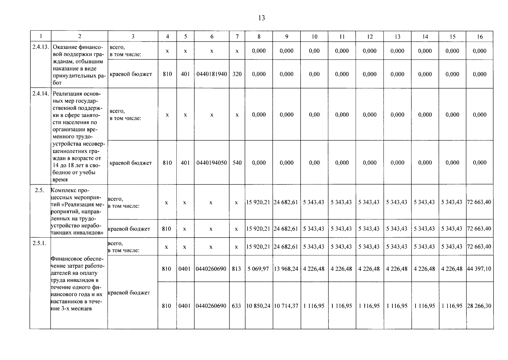
Постановление Правительства Приморского края от 22.01.2025 № 29-пп
"О внесении изменений в постановление Администрации Приморского края от 24 декабря 2019 года № 870-па "Об утверждении государственной программы Приморского края "Содействие занятости населения Приморского края"
Номер опубликования: 2501202501240001
Дата опубликования: 24.01.2025
Страница №85 из 133:
Увеличить