Официальное опубликование правовых актов
ОФИЦИАЛЬНОЕ ОПУБЛИКОВАНИЕ
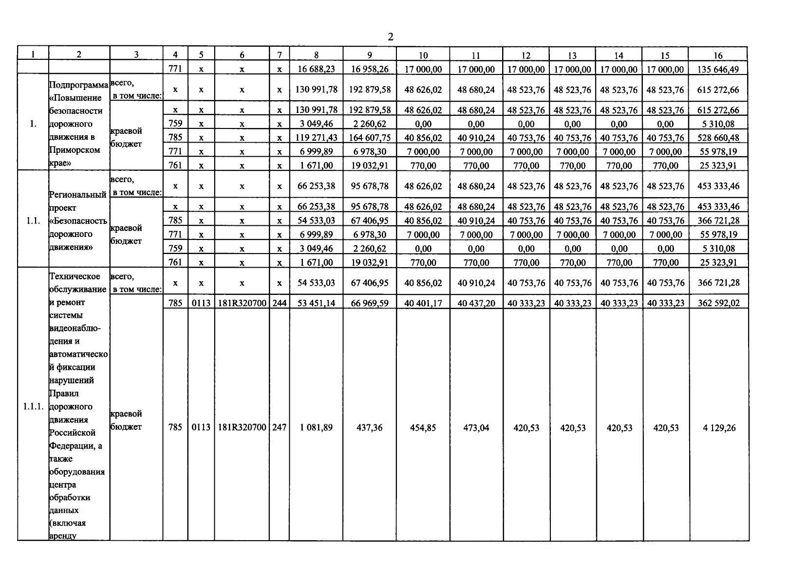
Постановление Правительства Приморского края от 27.12.2024 № 947-пп
"О внесении изменений в постановление Администрации Приморского края от 25 декабря 2019 года № 904-па "Об утверждении государственной программы Приморского края "Безопасный край"
Номер опубликования: 2501202412280015
Дата опубликования: 28.12.2024
Страница №5 из 29:
Увеличить