Официальное опубликование правовых актов
ОФИЦИАЛЬНОЕ ОПУБЛИКОВАНИЕ
Постановление Правительства Приморского края от 24.12.2024 № 907-пп
"О внесении изменений в постановление Администрации Приморского края от 2 июля 2019 года № 418-па "Об утверждении государственной программы Приморского края "Информационное общество"
Номер опубликования: 2501202412250001
Дата опубликования: 25.12.2024
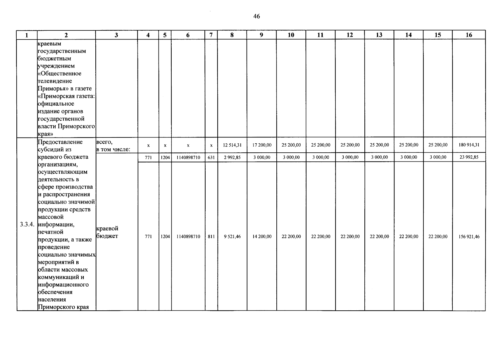
Страница №48 из 53:
Увеличить