Официальное опубликование правовых актов
ОФИЦИАЛЬНОЕ ОПУБЛИКОВАНИЕ
Распоряжение Правительства Приморского края от 20.12.2024 № 930-рп
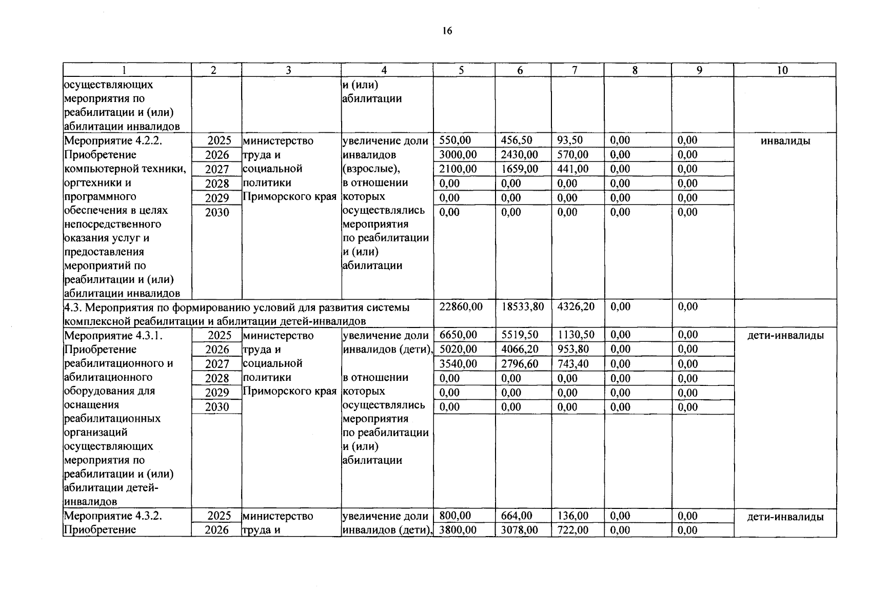
"О внесении изменений в распоряжение Правительства Приморского края от 4 октября 2024 года № 718-рп "Об утверждении Плана мероприятий ("дорожной карты") по формированию системы комплексной реабилитации и абилитации инвалидов, в том числе детей-инвалидов, в Приморском крае на 2025 - 2027 годы"
Номер опубликования: 2501202412230019
Дата опубликования: 23.12.2024
Страница №18 из 29:
Увеличить