Постановление Агентства по тарифам Приморского края от 09.12.2024 № 54/8
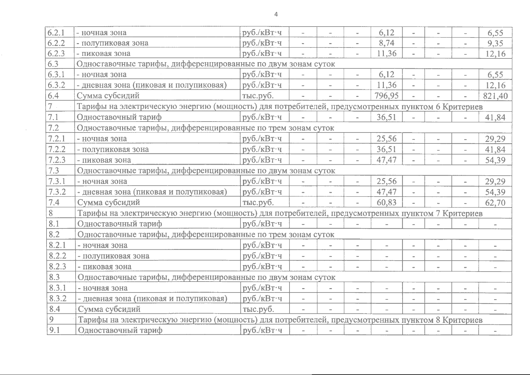
"О внесении изменений в постановление агентства по тарифам Приморского края от 14 декабря 2023 года № 68/19 "Об установлении цен (тарифов) на электрическую энергию (мощность), поставляемую ООО "Норд Прим" (гарантирующий поставщик) покупателям пгт Светлая, с. Самарга, с. Агзу, с. Единка, с. Перетычиха Тернейского муниципального округа Приморского края на розничных рынках, расположенных на территориях, технологически не связанных с Единойэнергетической системой России и технологически изолированными территориальными электроэнергетическими системами, за исключением населения и (или) приравненных к нему категорий потребителей"
(Зарегистрирован 16.12.2024 № 1871)
"О внесении изменений в постановление агентства по тарифам Приморского края от 14 декабря 2023 года № 68/19 "Об установлении цен (тарифов) на электрическую энергию (мощность), поставляемую ООО "Норд Прим" (гарантирующий поставщик) покупателям пгт Светлая, с. Самарга, с. Агзу, с. Единка, с. Перетычиха Тернейского муниципального округа Приморского края на розничных рынках, расположенных на территориях, технологически не связанных с Единойэнергетической системой России и технологически изолированными территориальными электроэнергетическими системами, за исключением населения и (или) приравненных к нему категорий потребителей"
(Зарегистрирован 16.12.2024 № 1871)
Номер опубликования: 2501202412190003
Дата опубликования:
19.12.2024
