Официальное опубликование правовых актов
ОФИЦИАЛЬНОЕ ОПУБЛИКОВАНИЕ
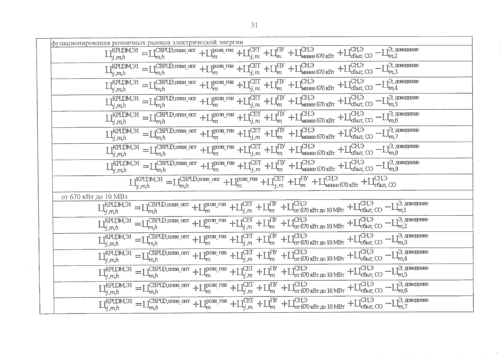
Постановление Агентства по тарифам Приморского края от 09.12.2024 № 54/31
"Об установлении цен (тарифов) на электрическую энергию (мощность), поставляемую энергосбытовой организацией ООО "РТ-Энерго", приобретающей электрическую энергию (мощность) на оптовом рынке, покупателям на розничных рынках на территориях, объединенных в неценовые зоны оптового рынка, за исключением электрической энергии (мощности), поставляемой населению и приравненным к нему категориям потребителей, по договорам энергоснабжения"
(Зарегистрирован 16.12.2024 № 1891)
Номер опубликования: 2501202412190002
Дата опубликования: 19.12.2024
Страница №33 из 43:
Увеличить