Официальное опубликование правовых актов
ОФИЦИАЛЬНОЕ ОПУБЛИКОВАНИЕ
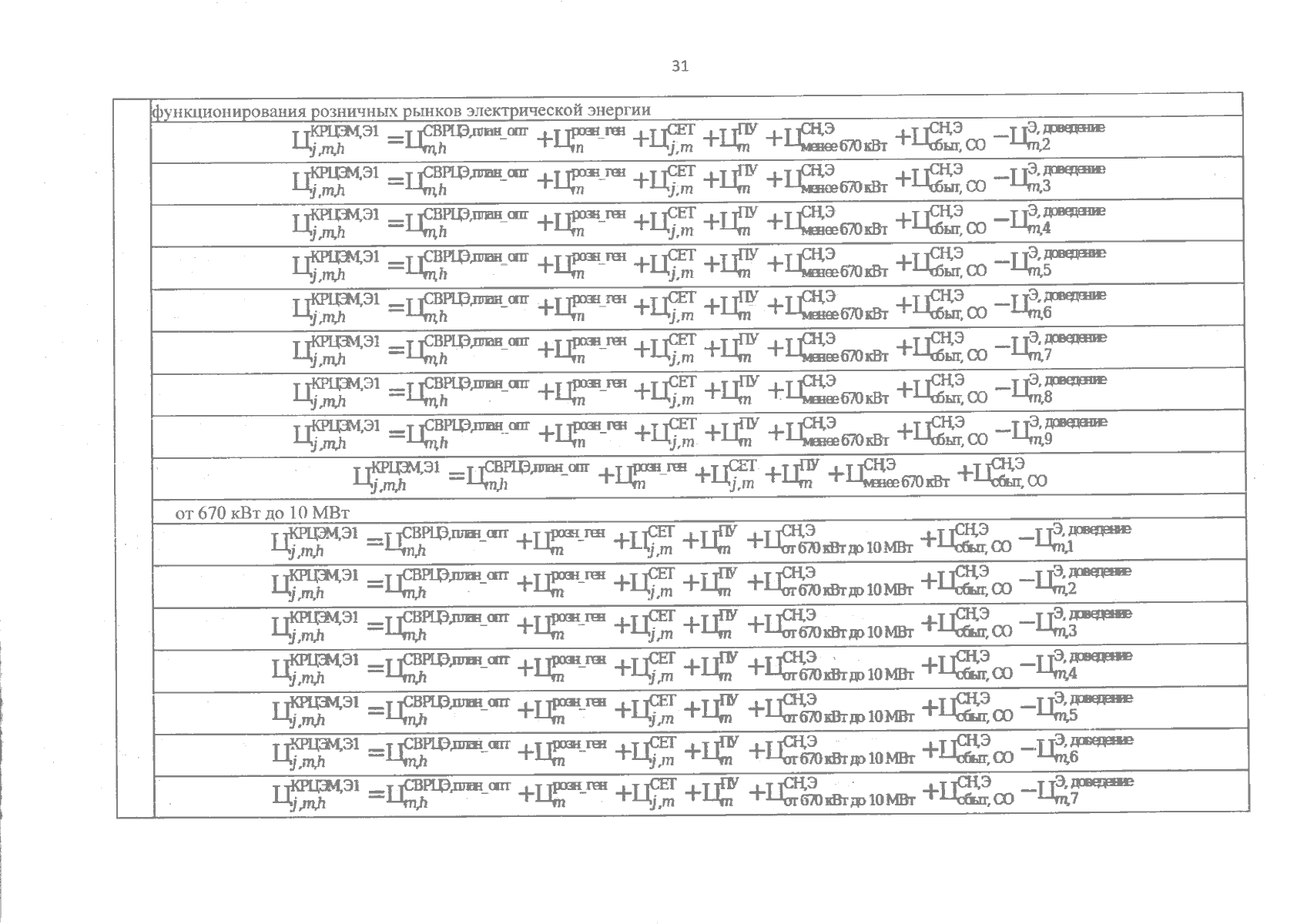
Постановление Агентства по тарифам Приморского края от 09.12.2024 № 54/27
"Об установлении цен (тарифов) на электрическую энергию (мощность), поставляемую энергосбытовой организацией АО "ННК-Энерго" покупателям на розничных рынках на территориях, объединенных в неценовые зоны оптового рынка, за исключением электрической энергии (мощности), поставляемой населению и приравненным к нему категориям потребителей, по договорам энергоснабжения"
(Зарегистрирован 16.12.2024 № 1887)
Номер опубликования: 2501202412180043
Дата опубликования: 18.12.2024
Страница №62 из 67:
Увеличить