Официальное опубликование правовых актов
ОФИЦИАЛЬНОЕ ОПУБЛИКОВАНИЕ
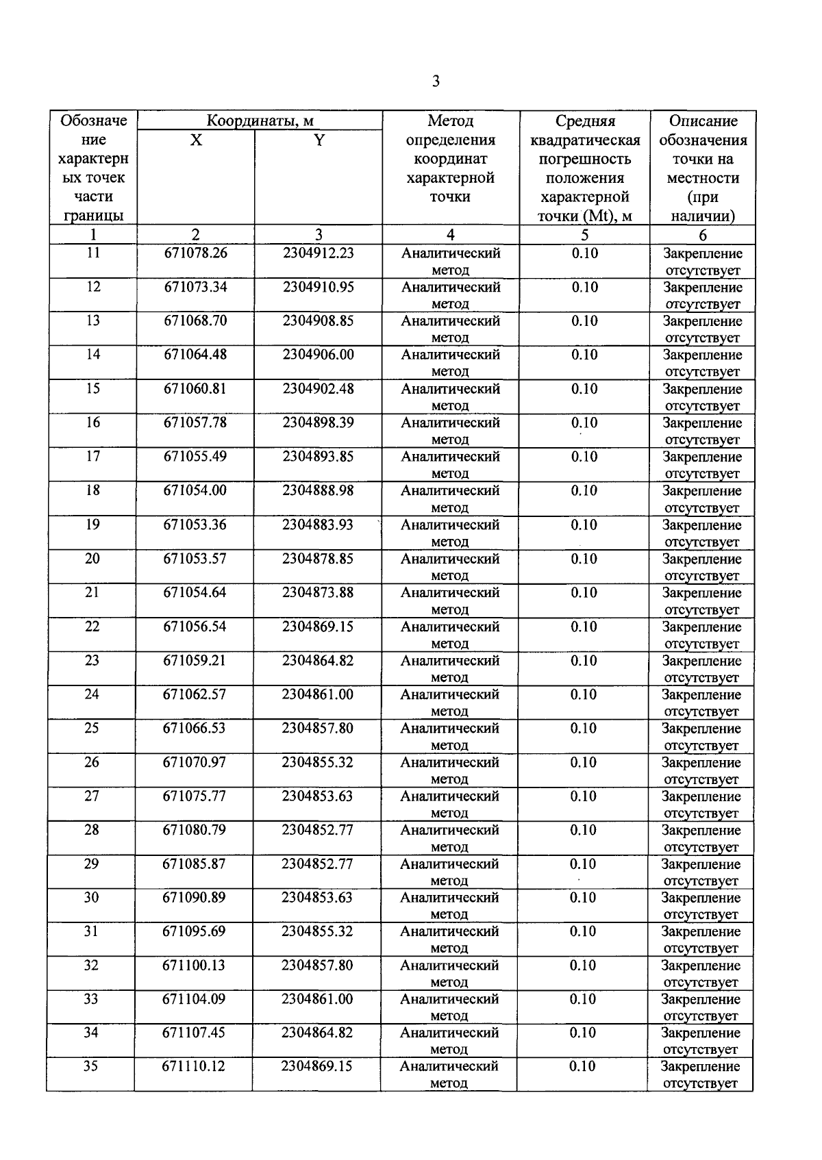
Постановление Правительства Приморского края от 13.12.2024 № 862-пп
"Об установлении зон санитарной охраны для водозаборной скважины № 1037, расположенной в г. Дальнереченске Приморского края"
Номер опубликования: 2501202412180005
Дата опубликования: 18.12.2024
Страница №5 из 18:
Увеличить