Официальное опубликование правовых актов
ОФИЦИАЛЬНОЕ ОПУБЛИКОВАНИЕ
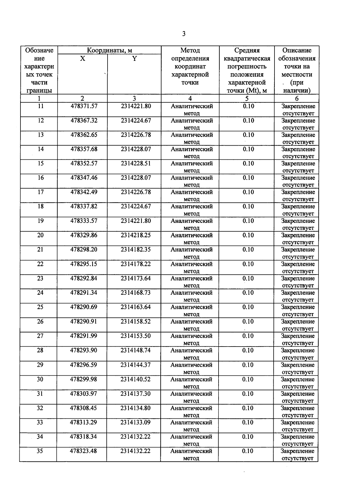
Постановление Правительства Приморского края от 13.12.2024 № 861-пп
"Об установлении зон санитарной охраны для водозаборных скважин № ПР-678 и ПР-676, расположенных в с. Чугуевка Приморского края"
Номер опубликования: 2501202412180004
Дата опубликования: 18.12.2024
Страница №5 из 19:
Увеличить